| next | |
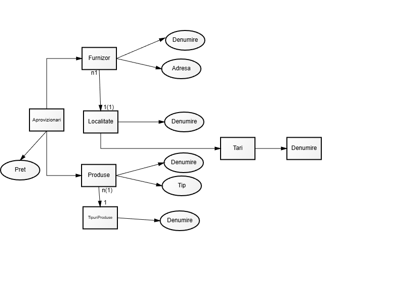
![]() Problema2BazaDate |
![]() lab 2 baze de date |
![]() Book Taxi Service in Pune - Mr. Cabby |
![]() SAZ Oilfield Equipment Inc. |
| next | |



